AS2885.5:2020 Correction Amendment No 1

In AS2885.5:2020 Field Pressure Testing, Equation N.4(3) is incorrect.

A correction amendment has been issued by Standards Australia, with the equation corrected.

It is provided here, to ensure users of AS2885.5 have the correct information.

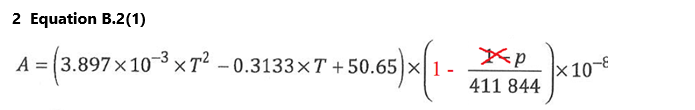
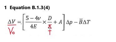
Please also note that another correction amendment is underway, for Equation B.1.3(4) and Equation B.2(1). Please make a note of this if you have hard copies. Those with subscription licenses just need to access the latest version online, which will include the revision (not yet for these below though, not until it’s officially issued).

ISO standards set for adoption

(January 5th, 2023: This first week of the new year, before I’d really gotten my feet under the desk yet, has seen a good email exchange amongst ME-038 about the adoption of ISO standards. I had the post below sitting in the drafts section of WordPress, waiting to be published here, wouldn’t you know it, next week. But in light of the sudden interest in this topic, I’ve brought forward the information for the rest of the industry to be aware of)

Adopting ISO Standards

There’s always been an underlying intention to ‘mirror’, or adopt, whenever possible, existing international (ISO) standards into the Australian framework.

By “whenever possible”, that means someone has to make the effort to adopt them. Currently Liam Hatchell, our ISO Liaison, is putting in that effort.

By “whenever possible”, we also mean that if an ISO Standard exists, and we in the Australian pipeline community don’t have particular expertise in that area, then that’s a reason to adopt it.

Here are some points that Liam has put out there for us to know:

  1. Adopting these standards does not mean we are mandating them. It is an endorsement from the relevant committee that they “reflect the best experience of industry and regulators worldwide” and are suitable for application here in Australia if selected. The aim being that should an “Unnamed Pipeline Engineer” in the future want to put something in place to (for example) specify an induction bend, they can comfortably choose to call up ISO 15590 knowing that we have reviewed it and endorsed its content. As such, in the Aus pipeline industry it is my expectation that AS2885 will be the standard that will continue to be mandated, and only if we (over time) get comfortable enough with the sub-ISO standards to specifically instruct usage, will they then be mandated. What this means is that we can adopt these standards, but it does not necessarily prevent users from selecting other equivalent international standards at this time.
  2. It has been a work in progress of mine (Liam’s) for over 10yrs now, but we now have nominated experts on 85% of the active working groups within ISO TC67 SC2. Should we choose to adopt all or some of these ISO standards then this greatly increases our justification to be more actively involved, and to participate vocally and actively in any future development. Taking this approach should (taking ISO 15590 as an example again) shift our focus away from feeling we need to develop our own standard, and ensure we put more effort into actively being involved in the ISO document. Note: we are a well respected member of this ISO committee, so if we ever wish to drive change in any standard then we are always able to put forward a proposal to ISO to lead or trigger a revision.

Thanks, Liam!

The list of ISO Standards below are currently being shepherded through the adoption process. Again, I’d like to thank Liam for his work on this, as some of the Standards below could be of good value for us in Australia to know about.

The adoption process doesn’t mean they are mandated, only that we recognise these Standards and maybe won’t need to develop our own.

If there are any here that you have a differing view of (ie, it shouldn’t be adopted), let us know. Standards Australia has asked for feedback by 20/01/2023, but if that date has passed when you read this, and you have an opinion, don’t let that date stop you. It’s still a process to get through, so there may be time yet.

ISO StandardTitle
ISO 12490:2011Mechanical integrity and sizing of actuators and mounting kits for pipeline valves
ISO/TS 12747:2011Recommended practice for pipeline life extension
ISO 14313:2007Pipeline valves
ISO 14313:2007/COR 1:2009
Pipeline valves — Technical Corrigendum 1
ISO 14723:2009Subsea pipeline valves
ISO 15590-1:2018Induction bends, fittings and flanges — Part 1: Induction bends
ISO 15590-2:2021Induction bends, fittings and flanges — Part 2: Fittings
ISO 15590-3:2022Induction bends, fittings and flanges — Part 3: Flanges
ISO 15590-4:2019Factory bends, fittings and flanges — Part 4: Factory cold bends
ISO 16440:2016Design, construction and maintenance of steel cased pipelines
ISO 20074:2019Geological hazard risk management for onshore pipeline
ISO 21329:2004Test procedures for mechanical connectors
ISO 21857:2021Prevention of corrosion on pipeline systems influenced by stray currents